环境保护是人类在发展经济、改善生活的同时,通过制度、技术和管理等手段,保护和改善自然环境,防止污染和生态破坏,保障资源可持续利用的综合性活动。它既包括对空气、水、土壤、森林、湿地等自然要素的保护,也涵盖节能减排、垃圾分类、清洁生产、绿色消费等具体行动
团队根据《中国城市统计年鉴》、各地方统计年鉴、国家知识产权局等筛选并整理出共计29个环境保护、环境规制相关指标数据,包括CO2、PM2.5、绿色专利、碳交易、工业三废排放等
主要用于计算城市的环境规制、污染排放水平。数据存在一定缺失。数据包含原始数据、线性插值、回归填补3个版本
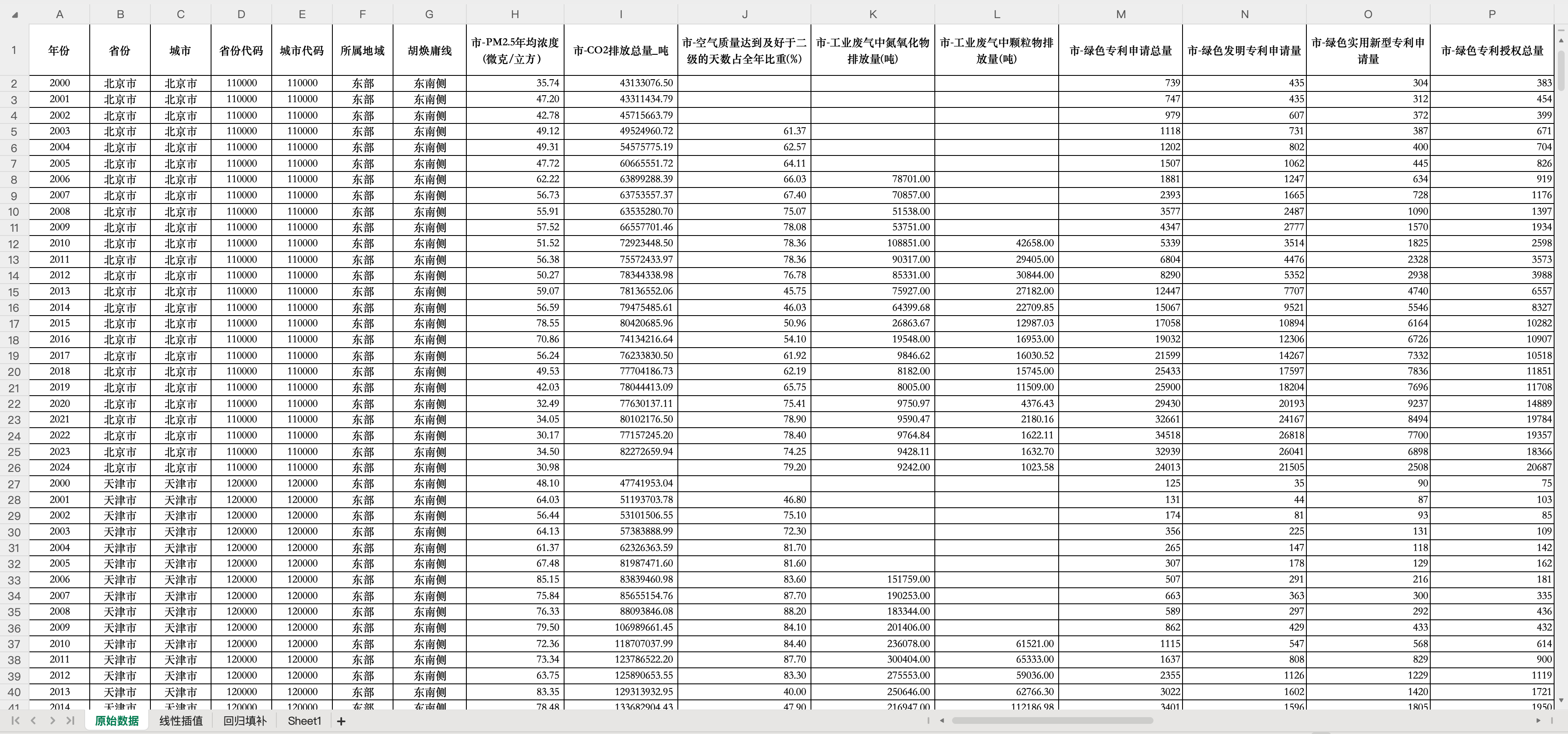
一、数据介绍数据名称:地级市-环境保护数据29个指标
数据范围:297个地级以上城市
时间范围:2000-2024年
样本数量:7426条
数据来源:《中国城市统计年鉴》、各地方统计年鉴、国家知识产权局、空气质量监测点、EDGAR
数据整理:马克数据网
更新时间:2025年11月
更多说明:包含原始数据、线性插值、回归填补3个版本
二、数据指标| 年份 | 省份 | 城市 |
| 省份代码 | 城市代码 | 所属地域 |
| 胡焕庸线 | PM2.5年均浓度 | CO2排放总量 |
| 空气质量达到及好于二级的天数占全年比重 | 工业废气中氮氧化物排放量 | 工业废气中颗粒物排放量 |
| 绿色专利申请总量 | 绿色发明专利申请量 | 绿色实用新型专利申请量 |
| 绿色专利授权总量 | 绿色发明专利授权量 | 绿色实用新型专利授权量 |
| 低碳城市试点年份 | 低碳城市试点DID | 碳排放权交易试点年份 |
| 碳排放权交易试点DID | 工业废气中二氧化硫排放量 | 工业废水排放量 |
| 工业废水排放达标量 | 工业二氧化硫去除量 | 工业烟尘去除量 |
| 工业烟尘排放量 | 工业二氧化硫产生量 | 工业烟粉尘去除量 |
| 工业烟粉尘排放量 | 工业化学需氧量排放量 | 工业氨氮排放量 |
| 生活污水处理率 | 生活垃圾无害化处理率 | 工业固体废物综合利用率 |
| 一般工业固体废物综合利用率 | 污水处理厂集中处理率 |
环境保护数据概览

会员登陆后,可在文章底部直接下载对应数据