泰尔指数和城乡收入差距(原始数据+测算)(1990-2021年)

会员社区
| 来源:国家统计局-中国省级数据库3.0
一、数据介绍

数据名称:泰尔指数和城乡收入差距(原始数据+测算)

数据年份:1990-2021年

数据样本:全国31个省份*32=992条

数据来源:国家统计局-中国省级数据库3.0

二、参考文献

[1]梁双陆,刘培培.数字普惠金融与城乡收入差距[J].首都经济贸易大学学报,2019,21(01):33-41.

[2]王宝义,张卫国.中国农业生态效率的省际差异和影响因素——基于1996~2015年31个省份的面板数据分析[J].中国农村经济,2018(01):46-62.

[3]李牧辰,封思贤,谢星.数字普惠金融对城乡收入差距的异质性影响研究[J].南京农业大学学报(社会科学版),2020,20(03):132-145.

三、数据指标

全部变量计算公式
城镇收入占农村收入之比城镇居民人均可支配收入 / 农村居民人均可支配收入
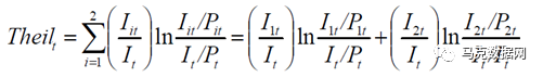
泰尔指数
乡村人口_万人-
全体居民人均可支配收入-
农村居民人均可支配收入-
城镇人口_万人-
城镇居民人均可支配收入-
年末常住人口_万人-

全部变量

泰尔指数和城乡收入差距

四、数据概览

泰尔指数和城乡收入差距

下载链接
需要登录后查看 点击登录
cZVAmf
你好,请问有河北省县级市的普惠金融指数的数据吗?
13X1Tw
szy_3e502
是不是算错了啊,还是我算错了,自己算的怎么都对不上
fxc11011
我也是,按照他的公式算法用excel算,怎么都对不上
fxc11011
刚刚检查了一下公式,能对上!是我公式打错了!
客服一:372574023(QQ)
客服二: macrodatas@163.com