互联网普及与城乡收入差距(2002-2016年)

会员社区
| 来源:中国省级数据库3.0
一、数据介绍

数据名称:互联网普及与城乡收入差距

数据年份:2002-2016年

数据样本:全国31个省份*15年=465条

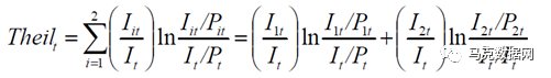
数据说明:参考龙海明(2015)计算泰尔指数,(详见昨天的推文链接),互联网普及率 = 互联网使用人数/总人口数,原始数据来自中国省级数据库3.0

数据整理:马克数据网,内含原始数据、处理代码和基准回归

二、数据指标

互联网普及与城乡收入差距

三、参考文献

程名望,张家平.互联网普及与城乡收入差距:理论与实证[J].中国农村经济,2019(02):19-41.

四、数据概览

基本数据

互联网普及与城乡收入差距

处理代码

互联网普及与城乡收入差距

描述性统计

互联网普及与城乡收入差距

基准回归

互联网普及与城乡收入差距

下载链接
需要登录后查看 点击登录
sRZaCE
渭河流域
客服一:372574023(QQ)
客服二: macrodatas@163.com