中国省级产业结构高级化、合理化数据测算(2000-2023年)

会员社区
| 来源:中国省级数据库5.5版

一、数据介绍

数据名称:中国省级产业结构高级化、泰尔指数

数据年份:2000-2023年

数据范围:31个省份

数据来源:中国统计年鉴、国家统计局

数据整理:马克数据网,内含原始版本、线性插值版本、ARIMA填补版本

数据说明:参考干春晖(2011)《经济研究》的文章 ,测算产业整体升级、高级化、合理化水平,保留原始数据

二、参考文献

干春晖,郑若谷,余典范.中国产业结构变迁对经济增长和波动的影响[J].经济研究,2011,46(05):4-16+31.

测算方式:

中国省级产业结构高级化、泰尔指数

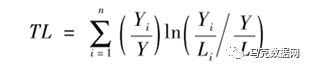
三、计算公式

中国省级产业结构高级化、泰尔指数

四、数据概览

中国省级产业结构高级化、泰尔指数-excel版

中国省级产业结构高级化、泰尔指数

中国省级产业结构高级化、泰尔指数-stata版

中国省级产业结构高级化、泰尔指数

下载链接
需要登录后查看 点击登录
mouwin
请问产业结构整体升级的数据是如何计算得出的?
马克数据网
产业结构整体升级 = 1*一产值占比+ 2*二产值占比 + 3*三产值占比
refusewrong
有的数据和统计年鉴对不上是什么情况啊?
refusewrong
跟全国 全省的 全都对不上
马克数据网
数据来源为国家统计局,与国家统计局数据进行对比
patima5575
广东省产业结构优化指数
马克数据网
里面包括广东省的数据
客服一:372574023(QQ)
客服二: macrodatas@163.com